就业信息
声子是一类固体中的元激发,通过原子之间相互作用,产生粒子的集体运动,表现出不同的波动形式。声子是波色子,服从波色—爱因斯坦统计分布规律。作为一种准粒子,声子可以与固体中诸多准粒子发生相互作用,与之相关的现象蕴含着丰富的物理内涵。固体中大多数宏观性质与这些相互作用紧密关联。比如在低温超导体中,晶格振动使得具有相反自旋的电子产生吸引作用,进而产生自旋为零的库柏对,在极低温下,宏观数量的库柏对凝聚到单一量子态,致使超导体可以无阻地传输电流。在固体中电输运性质也与电子—声子相互作用紧密相关,因电子在传输过程中,会受到声子的散射作用。在半导体或绝缘体中,声子—声子非谐相互作用导致热阻,体系的热导率就决定于这种非谐相互作用的强度。在能源如光伏、热电器件和微(纳)电子器件中,热传输和耗散往往决定器件性能。而深刻认清材料中与声子相关的输运机理,建立从材料结构到电、热输运的物理图像,可为材料性能调控和优化提供理论指导,具有重要的科学价值和实用意义。
铜基类金刚石结构化合物是一类在热电领域广受关注的材料,因其具有低热导率和较高空穴迁移率,有望成为具有“声子玻璃-电子晶体”特性的热电材料。对于铜基类金刚石结构化合物Cu2GeSe3,2011年,Cho等人发表了对Cu2GeSe3热输运方面的实验研究,他们测量了Cu2GeSe3的热容、体弹模量和热膨胀系数,发现其具有较大的Grüneisen常数γ (~1.7) (Cho et al. Phys. Rev. B, 2011, 84, 085207)。较大的γ意味着体系原子之间具有较强的非谐相互作用,从而导致材料的低晶格热导率。
邵和助课题组前期对Cu2GeSe3材料的热输运问题进行了系列研究。2015年他们对Cu2GeSe3进行了基于第一性原理计算的声子输运研究,计算显示在300 K下,Cu2GeSe3的Grüneisen常数仅为1.1左右(Shao et al. Europhys. Lett. 2015, 109, 47004),表明Cu2GeSe3体系并不具有非常强的非谐性。2016年他们进一步计算和分析了该体系的弹性性质(Shao et al. Europhys. Lett. 2016, 113, 26001),结合对其电子结构和电荷密度的分析,推测Cu2GeSe3中Cu-Se成较弱的共价键导致其具有较低的热导率。2016年他们基于第一性原理计算,在仅考虑三声子相互作用下,得到了Cu2GeSe3的室温晶格热导率为4.5 W/mK(Shao et al. Europhys. Lett. 2016, 115, 26002)。进一步分析发现,与大多数材料类似,Cu2GeSe3中低频声学支对晶格热导率的贡献超过90%,由于其具有较大的声子平均自由程,预测纳米化将会大幅降低其热导率。
尽管有了这些实验和理论研究结果,但是还未能展现Cu2GeSe3材料中热输运的全貌。首先,Cho等人发现Cu2GeSe3在室温下,热导率仅为1.9 W/mK,这个数值远低于上述理论计算值(4.5 W/mK);其次,在Cho等人的工作中,热导率随温度的变化趋势,若用a/Tb函数拟合,其趋势约为1/T1.28(Cho et al. Phys. Rev. B, 2011, 84, 085207),近期又有三个不同课题组的实验工作,研究发现热导率随温度变化趋势分别为1/T1.12(Wang et al. J. Alloys Compd. 2018, 769, 218)、1/T1.40(Yang et al. J. Eur. Ceram. Soc. 2021, 41, 3473)、以及1/T1.21(ACS Appl. Mater. Interfaces 2022, 14, 20972)。从理论上来说,若只考虑三声子相互作用,热导率随温度变化趋势会是1/T,实验结果呈现的物理规律,暗示着仅考虑三声子是不够的。另外自旋轨道耦合效应如何影响Cu2GeSe3的声子输运也是一个待解之谜。
为解答上述问题,近期ac米兰官网中文网站邵和助课题组从理论上系统地探讨了自旋轨道耦合、四声子相互作用、声子波动性相干传输、温度对声子及其相互作用地重整化、以及热膨胀等对Cu2GeSe3声子输运的影响机理。主要发现有:
1)自旋轨道耦合对Cu2GeSe3声子频率几乎没有影响,但使频率相关的Grüneisen常数整体往正数方向移动,这种移动却弱化了低频声子的散射强度,因为散射率与Grüneisen常数的平方成正比,而低频的Grüneisen常数大多为负值,从而导致热导率稍稍变大。
图1. 自旋轨道耦合对Cu2GeSe3声子输运的影响
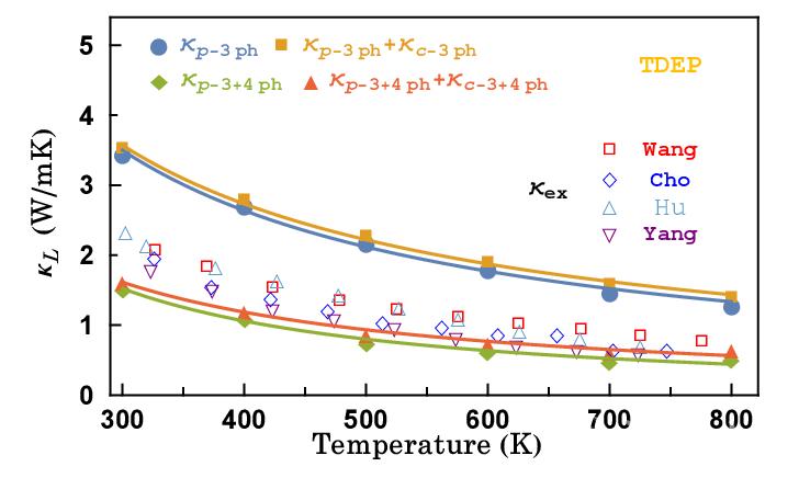
2)不考虑温度效应下,Cu2GeSe3材料具有很强的四声子相互作用,这种四声子相互作用使计算值大为降低,与仅考虑三声子相互作用结果比较,在室温下,热导率降低了53%,热导率与温度依赖关系呈现1/T1.7关系,若将声子波动性相干传输对热导率的贡献也考虑进来,计算得到的热导率数值也远低于实验值。
图2. 考虑三声子和四声子散射对Cu2GeSe3声子输运的影响
3)考虑温度对声子及其相互作用后,发现热导率的计算值与实验结果,不仅在数值上,以及热导率随温度的依赖关系上,都能很好地相符。
图3. 考虑温度对声子及其相互作用重整对Cu2GeSe3声子输运的影响
4)考虑热膨胀效应后,热导率数值又有些许程度地降低,但仍与实验结果较为相符
图4. 进一步考虑热膨胀效应对Cu2GeSe3声子输运的影响
在该工作中,作者还深入分析了导致上述结果的物理机理,发展了相应计算工具,可为其他材料体系声子输运研究提供有益的参考,该工作近期以 Phonon transport in Cu2GeSe3: Effects of spin-orbit coupling and higher-order phonon-phonon scattering为题发表于国际期刊《Phys. Rev. B》(https://doi.org/10.1103/PhysRevB.107.085202)。ac米兰官网中文网站邵和助副研究员,复旦大学张浩副教授为共同通讯作者,ac米兰官网中文网站董长昆教授对该工作给予大力支持,ac米兰官网中文网站为第一通讯单位。邵和助博士感谢中国科学院宁波材料技术与工程研究所蒋俊、刘国强、谈小建等三位研究员对该工作的有益讨论,邵和助博士对美国北卡罗莱纳州立大学Jun Liu教授和Jixiong He博士在相关计算方法上的有益讨论表示衷心的感谢。该工作也得到了国家自然科学基金(52272006, 11404348)、浙江省自然科学基金(LY22A040001)、温州市自然科学基金(G20210016)、宁波市2025重大科技专项(2020Z054)、以及上海市自然科学基金(19ZR1402900)部分经费支持。
邵和助博士2019年6月至今任职于ac米兰官网中文网站电气与电子工程学院。先后承担国家自然科学基金青年基金、浙江省自然科学基金、宁波市自然科学基金,温州市自然科学基金等课题。以(共同)第一/通讯作者在Nature Commun.、Acs Nano、Phys. Rev. B、Mater. Today Phys.、J. Phys. Chem. Lett.等期刊发表SCI论文20余篇,担任Chemical Reviews、Chemical Science、Nano Energy、J. Mater. Chem. A(C)等期刊审稿人。
中国浙江省温州市茶山高教园区 电话:0577-86598000
中国浙江省温州市学院中路276号 电话:0577-86598000
Copyright © AC米兰|官方网站 – Official Website Wenzhou University All Rights Reserved. 浙ICP备 浙公网安备 号